External Source

Dynamics: Transverse And Radial Components Of Velocity And Acceleration

2020 16:53
Synopsis
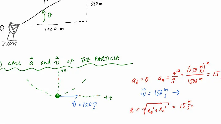
In this video, we introduce breaking down Position, Velocity, and Acceleration into components based on the Polar coordinate ...
Download Options
Choose a download method below. All links open in new tabs.
Service Features Action
SaveFrom
MP4 & MP3 • HD Quality • Browser Extension Available
Download
Security Notice: These are third-party services. We recommend using antivirus software and being cautious of pop-up ads.