External Source

Curvilinear Motion: Normal And Tangential Components (learn To Solve Any Problem)

2020 5:54
Synopsis
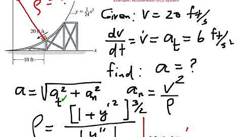
Let's go through how to solve Curvilinear motion, normal and tangential components. More Examples: ...
Download Options
Choose a download method below. All links open in new tabs.
Service Features Action
SaveFrom
MP4 & MP3 • HD Quality • Browser Extension Available
Download
Security Notice: These are third-party services. We recommend using antivirus software and being cautious of pop-up ads.