External Source

Ap Calculus Ab: Section 4.5a (integration By Substitution - Indefinite Integrals)

2020 37:30
Synopsis
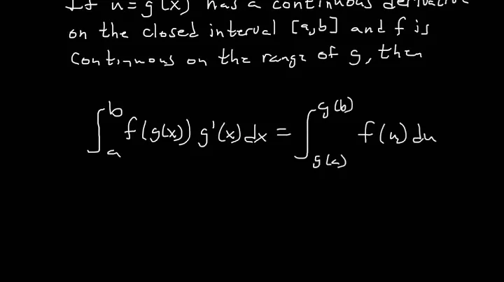
Students will learn how integration with u-substitution is related to the derivative of the chain rule. Students will practice integrating ...
Download Options
Choose a download method below. All links open in new tabs.
Service Features Action
SaveFrom
MP4 & MP3 • HD Quality • Browser Extension Available
Download
Security Notice: These are third-party services. We recommend using antivirus software and being cautious of pop-up ads.