External Source

Ap Calculus Ab: Section 4.5b (integration By Substitution - Definite Integrals)

2020 31:49
Synopsis
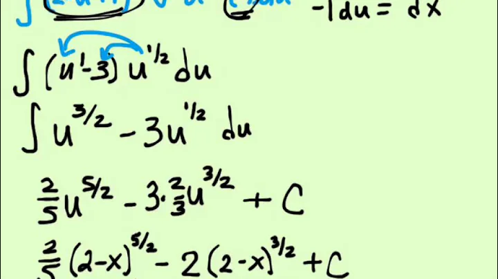
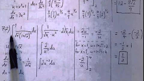
Students will learn how to evaluate definite integrals by using u-substitution. Students will learn the correct form for both ways to ...
Download Options
Choose a download method below. All links open in new tabs.
Service Features Action
SaveFrom
MP4 & MP3 • HD Quality • Browser Extension Available
Download
Security Notice: These are third-party services. We recommend using antivirus software and being cautious of pop-up ads.