External Source

5 4c2 Change Of Limits For Definite Integration By Substitution

2019 8:25
Synopsis
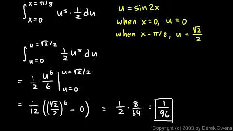
Changing the limits (or boundaries) of a definite integral to match the new, substitution variable - simple examples.
Download Options
Choose a download method below. All links open in new tabs.
Service Features Action
SaveFrom
MP4 & MP3 • HD Quality • Browser Extension Available
Download
Security Notice: These are third-party services. We recommend using antivirus software and being cautious of pop-up ads.