External Source

Lesson: Substitution With Definite Integrals

2020 16:34
Synopsis
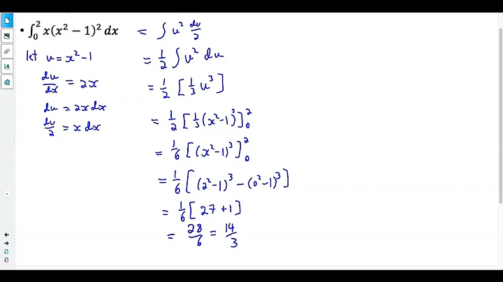
In this lesson, we discuss 2 methods for evaluating definite integrals that require substitution. 00:00 Warmup and review 5:11 Two ...
Download Options
Choose a download method below. All links open in new tabs.
Service Features Action
SaveFrom
MP4 & MP3 • HD Quality • Browser Extension Available
Download
Security Notice: These are third-party services. We recommend using antivirus software and being cautious of pop-up ads.