External Source

Factoring - Sum Of Cubes - Formula And Explanation

2015 3:09
Synopsis
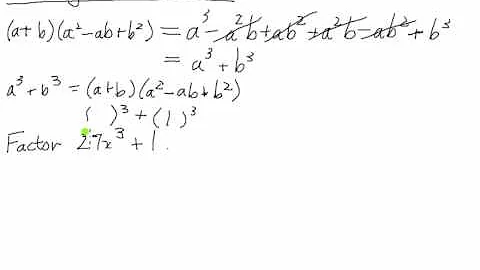
The formula for factoring a sum of cubes, plus a brief explanation of why it works.
Download Options
Choose a download method below. All links open in new tabs.
Service Features Action
SaveFrom
MP4 & MP3 • HD Quality • Browser Extension Available
Download
Security Notice: These are third-party services. We recommend using antivirus software and being cautious of pop-up ads.