External Source

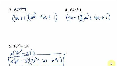
Factoring Sums And Differences Of Perfect Cubes

2016 11:13
Synopsis
This algebra video tutorial focuses on factoring sums and differences of cubes. This video contains plenty of examples and ...
Download Options
Choose a download method below. All links open in new tabs.
Service Features Action
SaveFrom
MP4 & MP3 • HD Quality • Browser Extension Available
Download
Security Notice: These are third-party services. We recommend using antivirus software and being cautious of pop-up ads.