External Source

Using Contour Integration To Calculate The Inverse Z-transform

2023 0:25
Synopsis
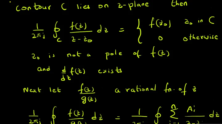
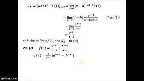
Using complex analysis methods to calculate the inverse Z-transform. Using a table of Z-transforms is a quicker way to do this type ...
Download Options
Choose a download method below. All links open in new tabs.
Service Features Action
SaveFrom
MP4 & MP3 • HD Quality • Browser Extension Available
Download
Security Notice: These are third-party services. We recommend using antivirus software and being cautious of pop-up ads.