External Source

Inverse Z Transform | Contour Integral Method With Examples | 4.5a

2021 14:15
Synopsis
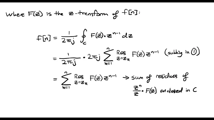
This video outlines how to take the inverse z Transform using contour integral method. The method uses residues evaluated at ...
Download Options
Choose a download method below. All links open in new tabs.
Service Features Action
SaveFrom
MP4 & MP3 • HD Quality • Browser Extension Available
Download
Security Notice: These are third-party services. We recommend using antivirus software and being cautious of pop-up ads.