External Source

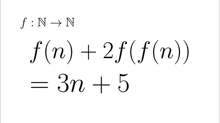
A Super Quick And Easy Functional Equation

2021 6:49
Synopsis
Join this channel to get access to perks:→ https://bit.ly/3cBgfR1 My merch → https://teespring.com/stores/sybermath?page=1 ...
Download Options
Choose a download method below. All links open in new tabs.
Service Features Action
SaveFrom
MP4 & MP3 • HD Quality • Browser Extension Available
Download
Security Notice: These are third-party services. We recommend using antivirus software and being cautious of pop-up ads.