External Source

Olympiad Problemsfunction Problem A Super Quick And Easy Functional Equation

2025 4:34
Synopsis
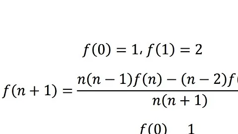
Function problem A Super Quick and Easy Functional Equation In this video, we tackle a challenging algebraic expression ...
Download Options
Choose a download method below. All links open in new tabs.
Service Features Action
SaveFrom
MP4 & MP3 • HD Quality • Browser Extension Available
Download
Security Notice: These are third-party services. We recommend using antivirus software and being cautious of pop-up ads.