External Source

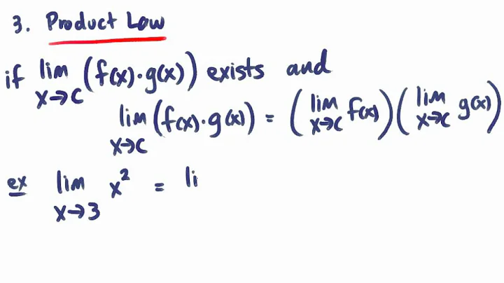
The Basic Limit Laws

2023 8:39
Synopsis
BASIC CALCULUS‼️ GRADE 11: THE BASIC LIMIT LAWS PERFORMANCE TASK BY: G11 STEM KNOWLEDGE CREDITS: ...
Download Options
Choose a download method below. All links open in new tabs.
Service Features Action
SaveFrom
MP4 & MP3 • HD Quality • Browser Extension Available
Download
Security Notice: These are third-party services. We recommend using antivirus software and being cautious of pop-up ads.