External Source

Properties Of Limits

2018 5:13
Synopsis
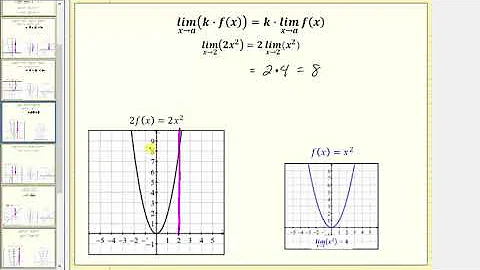
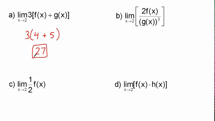
This calculus video tutorial provides a basic introduction into the properties of limits. It covers the addition, multiplication and ...
Download Options
Choose a download method below. All links open in new tabs.
Service Features Action
SaveFrom
MP4 & MP3 • HD Quality • Browser Extension Available
Download
Security Notice: These are third-party services. We recommend using antivirus software and being cautious of pop-up ads.