External Source

Unit Vector Notation - Standard Unit Vectors I J K - Physics

2024 26:54
Synopsis
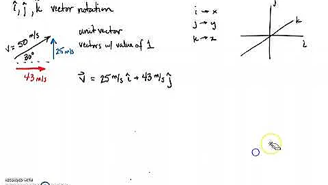
This physics video tutorial focuses on vector notation using the standard unit vectors i, j, and
Download Options
Choose a download method below. All links open in new tabs.
Service Features Action
SaveFrom
MP4 & MP3 • HD Quality • Browser Extension Available
Download
Security Notice: These are third-party services. We recommend using antivirus software and being cautious of pop-up ads.