External Source

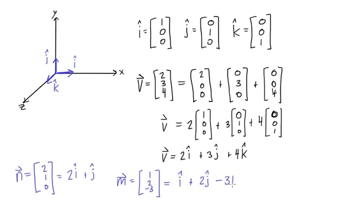
(i + J + K The Unit Vectors) Unit Vector Notation

2018 4:08
Synopsis
Jesus Christ is NOT white. Jesus Christ CANNOT be white, it is a matter of biblical evidence. Jesus said don't image worship.
Download Options
Choose a download method below. All links open in new tabs.
Service Features Action
SaveFrom
MP4 & MP3 • HD Quality • Browser Extension Available
Download
Security Notice: These are third-party services. We recommend using antivirus software and being cautious of pop-up ads.