External Source

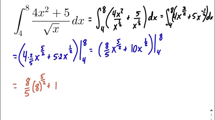
Solving An Integral With A 4th Root In Denominator

2022 3:38
Synopsis
Some interesting factoring here. https://owlsmath.neocities.org/Integrals%20with%20Roots/integral.html ...
Download Options
Choose a download method below. All links open in new tabs.
Service Features Action
SaveFrom
MP4 & MP3 • HD Quality • Browser Extension Available
Download
Security Notice: These are third-party services. We recommend using antivirus software and being cautious of pop-up ads.