External Source

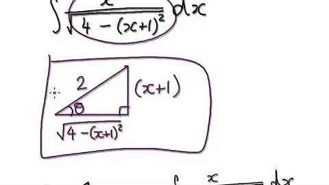
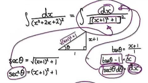
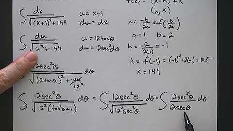
Trig Sub Completing The Square: Complete Square Before Substitution. Integrate 1/sqrt(x^2+4x-12).

2020 9:57
Synopsis
New videos every week! Subscribe to Zak's Lab https://www.youtube.com/channel/UCg31-N4KmgDBaa7YqN7UxUg/ Questions ...
Download Options
Choose a download method below. All links open in new tabs.
Service Features Action
SaveFrom
MP4 & MP3 • HD Quality • Browser Extension Available
Download
Security Notice: These are third-party services. We recommend using antivirus software and being cautious of pop-up ads.