External Source

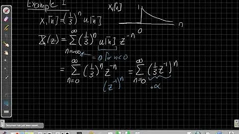
Z-transform Problem Example 1

2018 6:04
Synopsis
Z-Transform Problem Example 1 Watch more videos at https://www.tutorialspoint.com/videotutorials/index.htm Lecture By: Ms.
Download Options
Choose a download method below. All links open in new tabs.
Service Features Action
SaveFrom
MP4 & MP3 • HD Quality • Browser Extension Available
Download
Security Notice: These are third-party services. We recommend using antivirus software and being cautious of pop-up ads.