External Source

Z Transform Example

2019 3:31
Synopsis
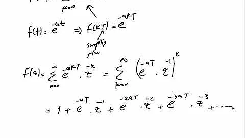
Shows an example of the Z Transform. Related videos: (see: http://iaincollings.com) • What is the Z Transform?
Download Options
Choose a download method below. All links open in new tabs.
Service Features Action
SaveFrom
MP4 & MP3 • HD Quality • Browser Extension Available
Download
Security Notice: These are third-party services. We recommend using antivirus software and being cautious of pop-up ads.