External Source

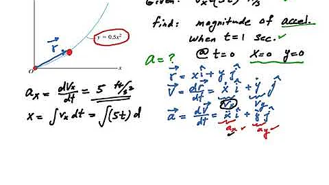
10 Curvilinear Motion Rectangular Components Examples

2022 21:28
Synopsis
The slide is prepared from the online resources for engineering mechanics dynamics 12th edition, RC Hibbeler, Pearson Prentice ...
Download Options
Choose a download method below. All links open in new tabs.
Service Features Action
SaveFrom
MP4 & MP3 • HD Quality • Browser Extension Available
Download
Security Notice: These are third-party services. We recommend using antivirus software and being cautious of pop-up ads.