External Source

Introduction To Partial Fractions For Waec

2021 11:21
Synopsis
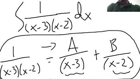
Resolving a Fraction into Its Partial Fraction ...
Download Options
Choose a download method below. All links open in new tabs.
Service Features Action
SaveFrom
MP4 & MP3 • HD Quality • Browser Extension Available
Download
Security Notice: These are third-party services. We recommend using antivirus software and being cautious of pop-up ads.