External Source

Partial Fraction Decomposition Example 1

2022 8:27
Synopsis
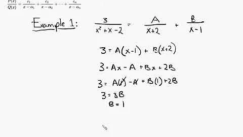
Learn partial fraction decomposition with this example. The video demonstrates finding a common denominator and solving simultaneous equations. It then shows how to substitute the values to decompose the fraction.
Download Options
Choose a download method below. All links open in new tabs.
Service Features Action
SaveFrom
MP4 & MP3 • HD Quality • Browser Extension Available
Download
Security Notice: These are third-party services. We recommend using antivirus software and being cautious of pop-up ads.