External Source

Einstein's Principle Of Equivalence Passed A Quantum Test

2017 1:50
Synopsis
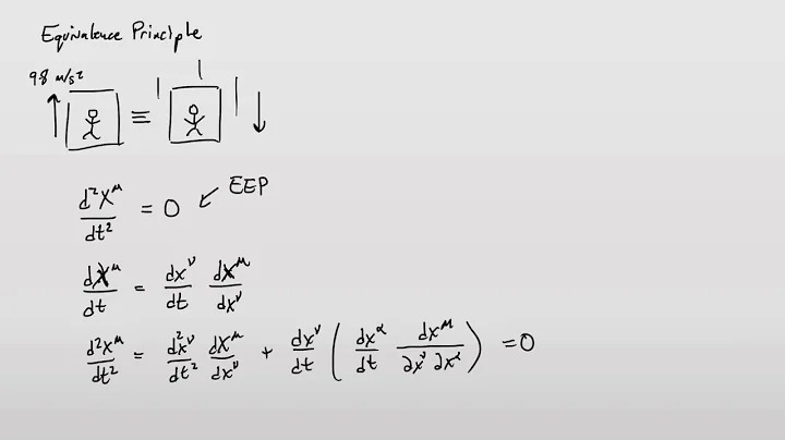
Einstein's principle of equivalence is of fundamental importance for the understanding of gravity and space-time. The principle has ...
Download Options
Choose a download method below. All links open in new tabs.
Service Features Action
SaveFrom
MP4 & MP3 • HD Quality • Browser Extension Available
Download
Security Notice: These are third-party services. We recommend using antivirus software and being cautious of pop-up ads.