External Source

How To Calculate Stationary Points | Gcse & Igcse Maths | Aqa, Edexcel, Cie, Ocr And O Levels

2021 6:53
Synopsis
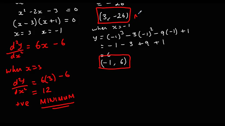
(I/GCSE) Calculating stationary points is easy when there are video lessons to help you learn! This video is designed to help with ...
Download Options
Choose a download method below. All links open in new tabs.
Service Features Action
SaveFrom
MP4 & MP3 • HD Quality • Browser Extension Available
Download
Security Notice: These are third-party services. We recommend using antivirus software and being cautious of pop-up ads.