External Source

Ex 1: Simplify And Multiply Complex Numbers

2011 3:41
Synopsis
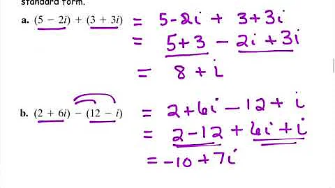
This video provides two examples of how to simplify and then multiply complex numbers. Library: http://mathispower4u.com ...
Download Options
Choose a download method below. All links open in new tabs.
Service Features Action
SaveFrom
MP4 & MP3 • HD Quality • Browser Extension Available
Download
Security Notice: These are third-party services. We recommend using antivirus software and being cautious of pop-up ads.