External Source

Infinite Limits And Vertical Asymptotes

2017 29:04
Synopsis
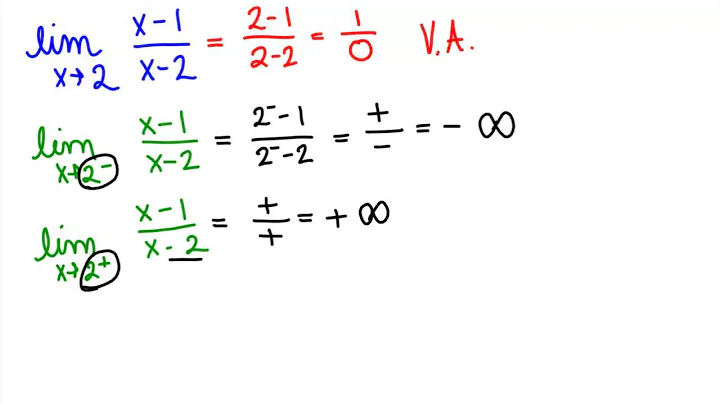
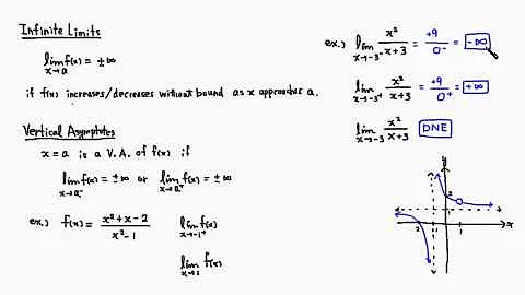
This calculus video tutorial explains how to evaluate infinite limits and vertical asymptotes including examples with rational ...
Download Options
Choose a download method below. All links open in new tabs.
Service Features Action
SaveFrom
MP4 & MP3 • HD Quality • Browser Extension Available
Download
Security Notice: These are third-party services. We recommend using antivirus software and being cautious of pop-up ads.