External Source

I Finally Understood The Weak Formulation For Finite Element Analysis

2024 30:08
Synopsis
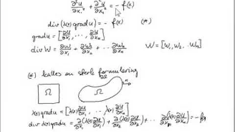
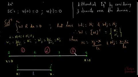
The weak formulation is indispensable for solving partial differential equations with numerical methods like the finite element ...
Download Options
Choose a download method below. All links open in new tabs.
Service Features Action
SaveFrom
MP4 & MP3 • HD Quality • Browser Extension Available
Download
Security Notice: These are third-party services. We recommend using antivirus software and being cautious of pop-up ads.