External Source

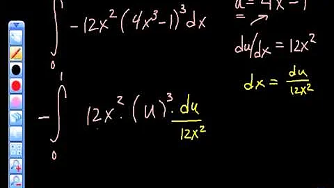
Ap Calculus Change Of Variable For Definite Inegration Evaluate

2014 5:56
Synopsis
MATH MADE EASY. PLEASE SUBSCRIBE.
Download Options
Choose a download method below. All links open in new tabs.
Service Features Action
SaveFrom
MP4 & MP3 • HD Quality • Browser Extension Available
Download
Security Notice: These are third-party services. We recommend using antivirus software and being cautious of pop-up ads.