External Source

Picard Method Of Successive Approximations Example For Solving Ode

2022 15:35
Synopsis
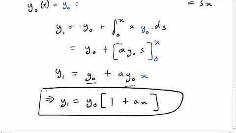
Simply click on the link below to access all the videos related to a numerical method: Numerical method: ...
Download Options
Choose a download method below. All links open in new tabs.
Service Features Action
SaveFrom
MP4 & MP3 • HD Quality • Browser Extension Available
Download
Security Notice: These are third-party services. We recommend using antivirus software and being cautious of pop-up ads.