External Source

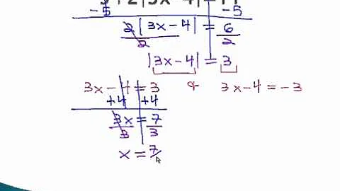
How To Solve Absolute Value Inequalities: Isolate First? - Your Algebra Coach

2025 3:42
Synopsis
How To Solve Absolute Value Inequalities: Isolate First? Are you struggling to understand how to solve absolute value inequalities ...
Download Options
Choose a download method below. All links open in new tabs.
Service Features Action
SaveFrom
MP4 & MP3 • HD Quality • Browser Extension Available
Download
Security Notice: These are third-party services. We recommend using antivirus software and being cautious of pop-up ads.