External Source

U Substitution Integration Problem 2

2015 3:18
Synopsis
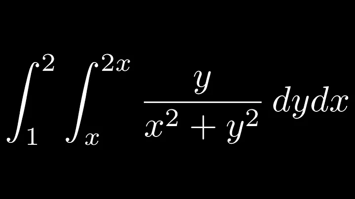
In this problem we solve a complicated integration problem quickly and and with less steps using U Substitution Integration.
Download Options
Choose a download method below. All links open in new tabs.
Service Features Action
SaveFrom
MP4 & MP3 • HD Quality • Browser Extension Available
Download
Security Notice: These are third-party services. We recommend using antivirus software and being cautious of pop-up ads.