External Source

Solve The Differential Equation Dy/dx+y/x=x^2

2022 2:24
Synopsis
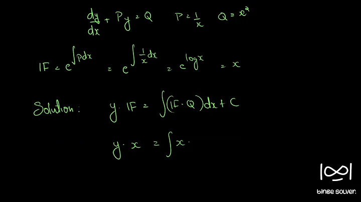
Solve the differential equation dy/dx+y/x=x^2 by use integrating factor method. Strategy of solving differential equations using ...
Download Options
Choose a download method below. All links open in new tabs.
Service Features Action
SaveFrom
MP4 & MP3 • HD Quality • Browser Extension Available
Download
Security Notice: These are third-party services. We recommend using antivirus software and being cautious of pop-up ads.