External Source

The Constant Multiple, Sum, And Difference Rules For Derivatives

2015 4:58
Synopsis
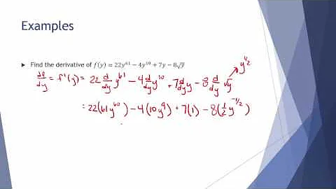
In this video, we talk about three rules for taking derivatives, the Constant Multiple Rule, the Sum Rule, and the Difference Rule.
Download Options
Choose a download method below. All links open in new tabs.
Service Features Action
SaveFrom
MP4 & MP3 • HD Quality • Browser Extension Available
Download
Security Notice: These are third-party services. We recommend using antivirus software and being cautious of pop-up ads.