External Source

Factor Polynomials Using Synthetic Division

2013 4:36
Synopsis
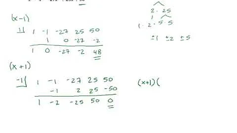
An example of factoring a polynomial completely when given a factor of the given polynomial. Synthetic Division is used as well as ...
Download Options
Choose a download method below. All links open in new tabs.
Service Features Action
SaveFrom
MP4 & MP3 • HD Quality • Browser Extension Available
Download
Security Notice: These are third-party services. We recommend using antivirus software and being cautious of pop-up ads.