External Source

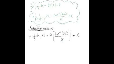
Indefinite Integral: Example (5)

2024 0:59
Synopsis
부정적분 예제 (5) #calculus #integration #indefiniteintegral #적분 #부정적분.
Download Options
Choose a download method below. All links open in new tabs.
Service Features Action
SaveFrom
MP4 & MP3 • HD Quality • Browser Extension Available
Download
Security Notice: These are third-party services. We recommend using antivirus software and being cautious of pop-up ads.