External Source

First Order Differential Equations - Solving Via Direct Integration

2017 4:39
Synopsis
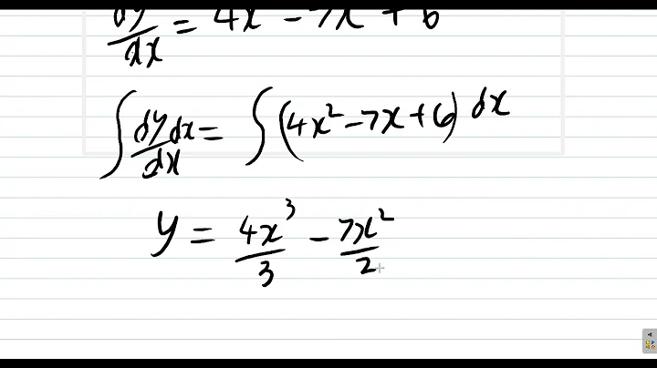
How to solve first order differential equations of the form dy/dx = f(x) (Leibniz notation). Hope it helps!
Download Options
Choose a download method below. All links open in new tabs.
Service Features Action
SaveFrom
MP4 & MP3 • HD Quality • Browser Extension Available
Download
Security Notice: These are third-party services. We recommend using antivirus software and being cautious of pop-up ads.