External Source

Video3238 - Calculus 3 - Change Of Variables - Example

2020 11:27
Synopsis
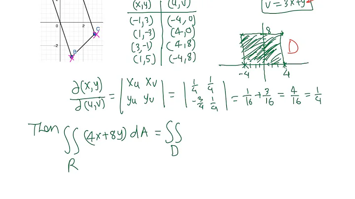
Calculus 3 - Change of Variables - Example.
Download Options
Choose a download method below. All links open in new tabs.
Service Features Action
SaveFrom
MP4 & MP3 • HD Quality • Browser Extension Available
Download
Security Notice: These are third-party services. We recommend using antivirus software and being cautious of pop-up ads.