External Source

Find The Distance Between Two Points P1 (1,-4) And P2 (6,1): Step-by-step Video Solution

2025 2:14
Synopsis
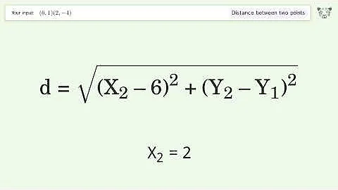
See how to easily find the distance between two points p1 (1,-4) and p2 (6,1) with our clear, step-by-step video guide on Tiger ...
Download Options
Choose a download method below. All links open in new tabs.
Service Features Action
SaveFrom
MP4 & MP3 • HD Quality • Browser Extension Available
Download
Security Notice: These are third-party services. We recommend using antivirus software and being cautious of pop-up ads.