External Source

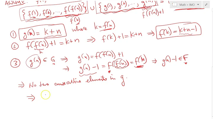
1978 Imo Problem #5

2019 12:01
Synopsis
We use the well-known rearrangement inequality to solve the problem. Here is a Wikipedia link for proof: ...
Download Options
Choose a download method below. All links open in new tabs.
Service Features Action
SaveFrom
MP4 & MP3 • HD Quality • Browser Extension Available
Download
Security Notice: These are third-party services. We recommend using antivirus software and being cautious of pop-up ads.