External Source

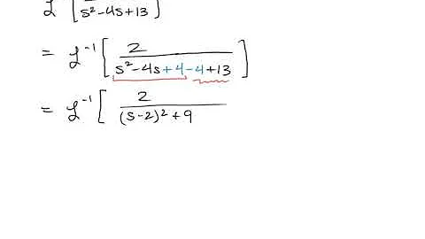
Inverse Laplace Transform, Example#5, With Completing The Square

2017 4:34
Synopsis
inverse laplace transform, inverse laplace transform example, Shop Math: https://teespring.com/stores/blackpenredpen Wear ...
Download Options
Choose a download method below. All links open in new tabs.
Service Features Action
SaveFrom
MP4 & MP3 • HD Quality • Browser Extension Available
Download
Security Notice: These are third-party services. We recommend using antivirus software and being cautious of pop-up ads.