External Source

Repeated Eigenvalues

2020 14:37
Synopsis
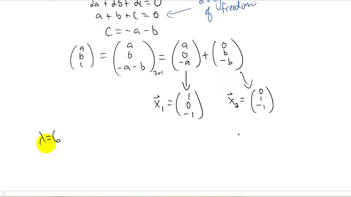
When solving a system of linear first order differential equations, if the eigenvalues are repeated, we need a slightly different form ...
Download Options
Choose a download method below. All links open in new tabs.
Service Features Action
SaveFrom
MP4 & MP3 • HD Quality • Browser Extension Available
Download
Security Notice: These are third-party services. We recommend using antivirus software and being cautious of pop-up ads.