External Source

An Amazing Algebra Challenge- Give It A Try!

2025 11:34
Synopsis
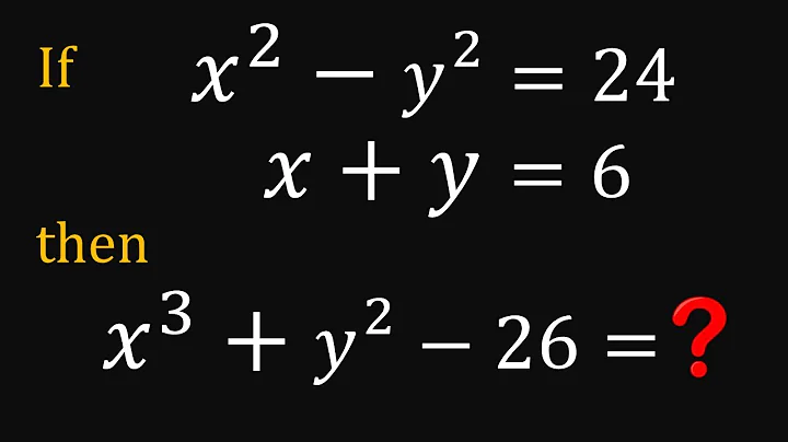
An Amazing Algebra Challenge- Give It A Try! Welcome to infyGyan! In this video, we explore an intriguing algebra problem, ...
Download Options
Choose a download method below. All links open in new tabs.
Service Features Action
SaveFrom
MP4 & MP3 • HD Quality • Browser Extension Available
Download
Security Notice: These are third-party services. We recommend using antivirus software and being cautious of pop-up ads.