External Source

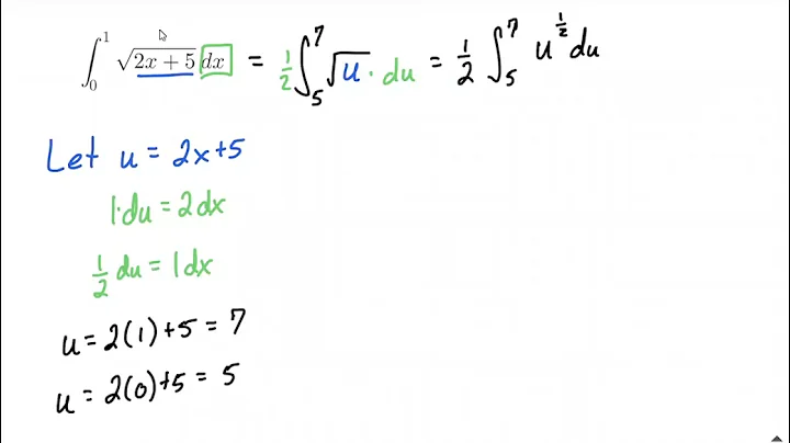
Evaluate The Integral With The Square Root Using U Substitution

2018 3:25
Synopsis
Learn how to evaluate the integral of a function. The integral, also called antiderivative, of a function, is the reverse process of ...
Download Options
Choose a download method below. All links open in new tabs.
Service Features Action
SaveFrom
MP4 & MP3 • HD Quality • Browser Extension Available
Download
Security Notice: These are third-party services. We recommend using antivirus software and being cautious of pop-up ads.