External Source

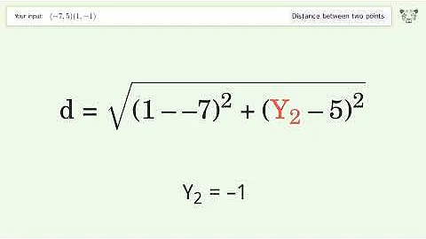
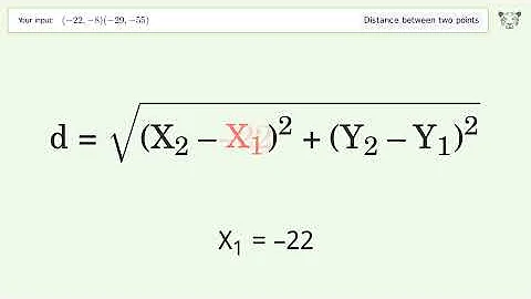
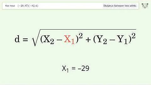
Find The Distance Between Two Points P1 (-29,87) And P2 (-82,6): Step-by-step Video Solution

2025 2:11
Synopsis
See how to easily find the distance between two points p1 (-29,87) and p2 (-82,6) with our clear, step-by-step video guide on Tiger ...
Download Options
Choose a download method below. All links open in new tabs.
Service Features Action
SaveFrom
MP4 & MP3 • HD Quality • Browser Extension Available
Download
Security Notice: These are third-party services. We recommend using antivirus software and being cautious of pop-up ads.