External Source

A Fun Functional Equation!!

2020 11:13
Synopsis
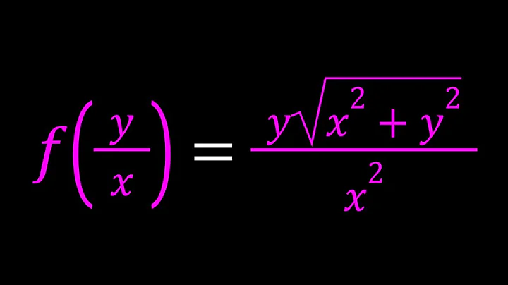
We solve a nice functional equation. Please Subscribe: https://www.youtube.com/michaelpennmath?sub_confirmation=1 Merch: ...
Download Options
Choose a download method below. All links open in new tabs.
Service Features Action
SaveFrom
MP4 & MP3 • HD Quality • Browser Extension Available
Download
Security Notice: These are third-party services. We recommend using antivirus software and being cautious of pop-up ads.