External Source

6.3 - Orthogonal Projection Onto Subspaces

2020 24:17
Synopsis
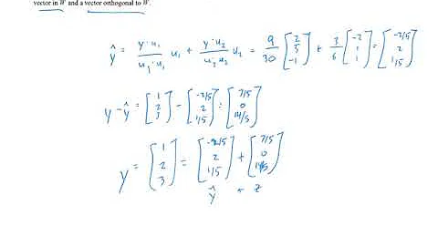
This video is about: - Writing vectors in terms of an orthogonal basis - Orthogonal projections - Best Approximation Theorem ...
Download Options
Choose a download method below. All links open in new tabs.
Service Features Action
SaveFrom
MP4 & MP3 • HD Quality • Browser Extension Available
Download
Security Notice: These are third-party services. We recommend using antivirus software and being cautious of pop-up ads.