External Source

Proof Sn Arithmetic Series

2021 3:39
Synopsis
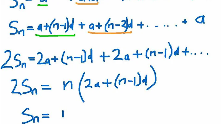
Proof sum to n terms for an Arithmetic series.
Download Options
Choose a download method below. All links open in new tabs.
Service Features Action
SaveFrom
MP4 & MP3 • HD Quality • Browser Extension Available
Download
Security Notice: These are third-party services. We recommend using antivirus software and being cautious of pop-up ads.