External Source

Nonparametric Tests - Sign Test

2022 22:17
Synopsis
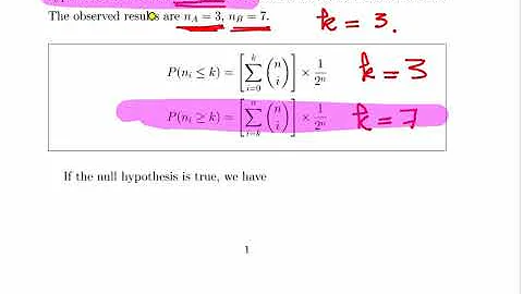
In this tutorial, we provide the concept behind the sign test, and worked some examples to illustrate it's use.
Download Options
Choose a download method below. All links open in new tabs.
Service Features Action
SaveFrom
MP4 & MP3 • HD Quality • Browser Extension Available
Download
Security Notice: These are third-party services. We recommend using antivirus software and being cautious of pop-up ads.