External Source

Variational Methods (delta Operator)

2021 19:43
Synopsis
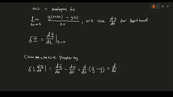
Develops the concept of a delta operator. Shows that using the delta operator yields the same Euler-Lagrange equation as ...
Download Options
Choose a download method below. All links open in new tabs.
Service Features Action
SaveFrom
MP4 & MP3 • HD Quality • Browser Extension Available
Download
Security Notice: These are third-party services. We recommend using antivirus software and being cautious of pop-up ads.